• 找试剂
  • 找耗材/设备

    021-50908862

    客服热线(工作日:9:00-17:00)

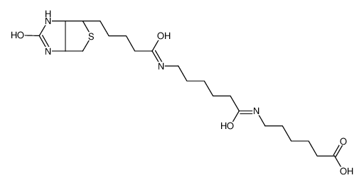
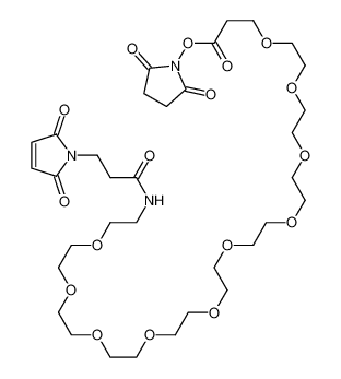
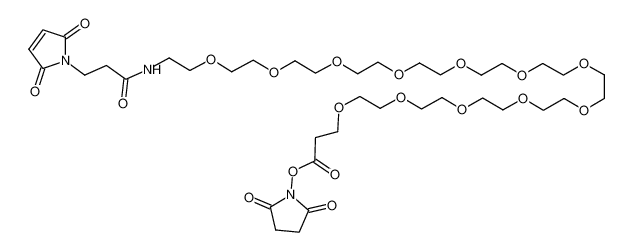
此分类下共有137条信息